
一年一度的高考已经结束
在高考前后几天
我们看到了社会的关切、学校的精心准备
老师们也放缓节奏,更加平和、从容
更加关注学生的生活、情绪、睡眠
面对大考,同学们心中许宏志,足下履平沙
不热血、不懈怠、专注当下
相信功到自然成
底气十足、自信从容应对大考
高考前
校长和你“侃”高考
Bachuan Middle School
高考前一天
郭洪校长用三场考前动员会和同学们一起侃高考
怎样才能在高考中 “遇见更好的自己”
聊到尽兴处,爽朗的重庆话更能表达他当时的情感
大家领略到郭校长衬衣领带背后的风趣幽默

一如既往的“郭氏风格”
精炼的内容,精准的视角,精简的结构
“三会”提出希望
“三问”关怀备至
“三心”平缓心态
“三个成语”,传授应考锦囊
“答前三分钟”,口述考前旨要
“三遍”,给出做题策略
“三点”,调节身心状态
三场讲座,郭校长如此钟爱“三”
希望大家的三年勤学能在这三天的高考中
能够三星高照、连中三元!


高考后
班主任写给每个学生一封信
Bachuan Middle School
三年倾心,一纸情深
高三9班班主任田世来老师
用半个多月的时间给全班35名同学
每人写了一封信
有些在教学间隙写成
有些是在学生进考场后完成
写信时间不一、内容有别
田老师只是想在同学们毕业之际
给他们留下一些特别的回忆
为了不失偏颇
田老师以姓氏拼音为序开始书写
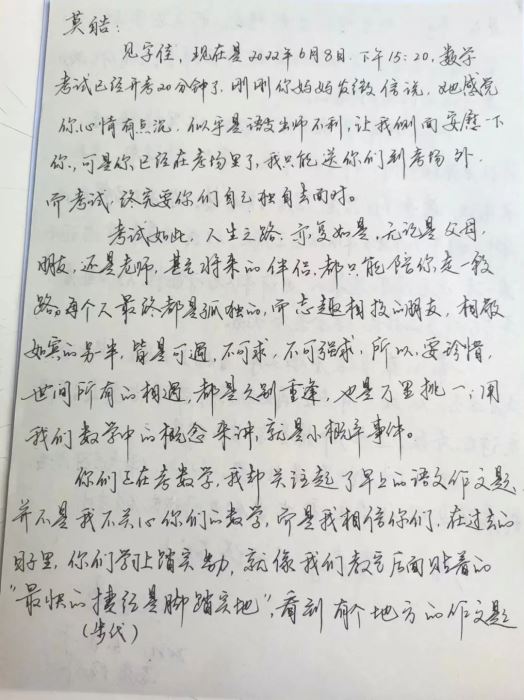
6月8日,刚好写到莫皓同学这里
结合正在进行的高考和他谈未来、谈人生
6月9日信件全部发到大家手中
为了让同学们今后尽量不走弯路
田老师的信件中多数是从
阅读、锻炼、交友几个方面来写的
特别提到要交好友、交益友、交诤友
是师如父的叮嘱尽在字里行间
他希望通过这样的寄语
对同学们的人生之路能有所启发
看到同学们读信时眼圈泛红
田老师告诉家长们
口语考试结束后就可直接接走孩子
也许正是为了避免离别时的伤感和不舍


离校时
这样去传承巴川文化
Bachuan Middle School
高三的学长学姐高考结束后
将日夜苦读梳理成册的知识精粹
毫无保留地留给下届的学弟学妹
这样的学科笔记带着勤学善思的高三温度
更传递着巴川学子优秀的学习品质
一篇篇笔记,文理兼有

透过整洁的版面与娟娟笔迹
无论文科的积累还是数理的逻辑在这里都一览无遗
相信学弟学妹看到这样的馈赠
不仅是由衷的感谢
更能感受到这其中承载着的情感
这是楼上楼下的日日相遇
不须识姓名,不用问来处
只为这犹如亲情般的巴川情谊
这是知识与学习技巧的传递
也是高年级与低年级的情谊
折射出的是和谐、共进的巴川文化
在巴川,校长、老师、学生
高考期间都绘就着各自的角色
无论轻松交流还是温情隽永
都呈现出一种平和的状态
积极面对,从容不迫
平静如常更能创造非凡